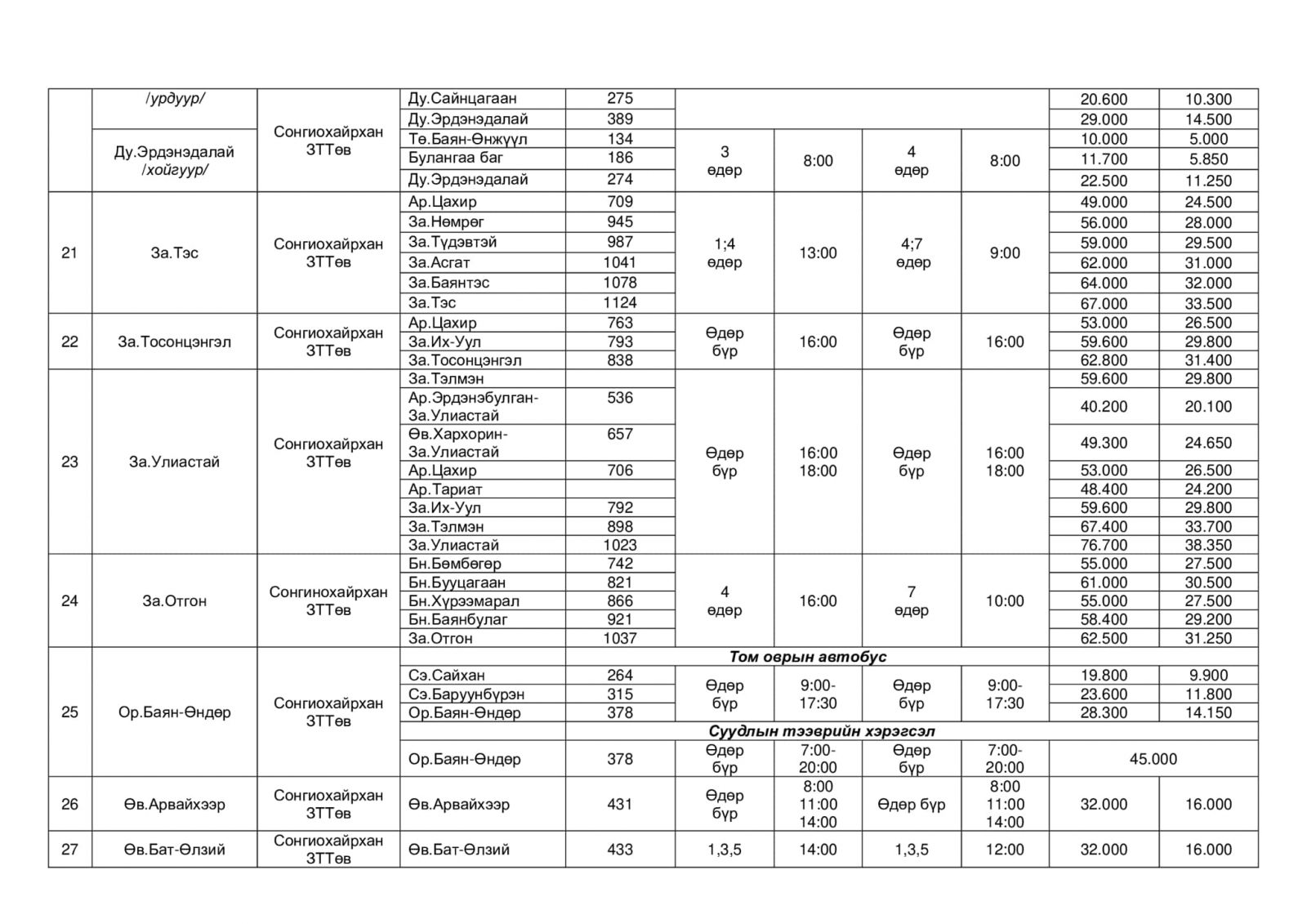
Хот хоорондын нийтийн зорчигч тээврийн тарифыг 2022 оны зургаадугаар сарын 1-ний өдрөөс буюу өчигдрөөс эхлэн нэмэгдүүлсэн байна.
Улмаар хамгийн ойр буюу төв аймгийн Зуунмод хот руу зорчих үнэ том хүн 3000, хүүхэд 1500 төгрөг болжээ.
Харин хамгийн хол нь Ховд аймгийн Булган сум байна. Тус сум руу 1720 км зорчиход нэг талын үнэ 129 мянган төгрөг болжээ.
Ингэж үнэ өссөнийг Авто тээврийн үндэсний төвөөс "Зам тээврийн хөгжлийн сайдын 2019 оны 374 дугаар тушаалаар 1 хүн км өртгийг 60-75 төг байхаар тогтоосон байдаг. Уг жишиг тарифыг тогтоохдоо тухайн үеийн 1 литр түлш 2430 төгрөг байхад тогтоож байсан. Өнөөдрөөс мөрдөх үнэ тариф нь тухайн жишиг тарифын хүрээнд дээд хязгаарт хүргэж байгаа болно" хэмээн тайлбарлажээ.
.jpg)
.jpg)
.jpg)
.jpg)
.jpg)
.jpg)

Сэтгэгдэл ( 0 )